To The Base
Dear Nimra,
you put in a detailed mathematical effort, however, did you evaluate from an equal base? On one side, you put an assumption from an unknown source, on the other side you put derivations from accepted standards. Finally you conclude to a question postulating the (assumed) cosine profile to be the reference base. If you could lay open the base to the cosine assumption or would derive it from it's proper source, then you would compare both theories on an equal footing.
From the first look already it is clear, that the cosine assumption is relying purely on geometrical parameters, whereas the standards radius formula contains load / force influence.
Regards
R. ■
Re: Belt Sag And Belt Profile
Hi Roland,
Thank you for your reply. Let me give more details:
You are right, I should have mentioned the name of the paper:
"BULK SOLID LOADING PROFILES AND LOAD STABILITY DURING BELT CONVEYING"
by A.W. ROBERTS.
you may find it on the net. (thank you google!)
In this paper, by assuming the cosine profile and doing some math, equations for spillage and slippage are presented. Because these equations are similar to the given formulas in CEMA (CEMA6, I don't know about CEMA7), it seems logical to me that the assumptions behind CEMA's formulas are the same. (am I wrong?)
well, then it comes to my mind that why on earth belt sag formula in the same standard, is based on a completely different assumption for belt profile between rollers!
something doesn't fit!
you put in a detailed mathematical effort, however, did you evaluate from an equal base? On one side, you put an assumption from an unknown source, on the other side you put derivations from accepted standards. Finally you conclude to a question postulating the (assumed) cosine profile to be the reference base. If you could lay open the base to the cosine assumption or would derive it from it's proper source, then you would compare both theories on an equal footing.
From the first look already it is clear, that the cosine assumption is relying purely on geometrical parameters, whereas the standards radius formula contains load / force influence.
Regards
R.
■
Where Do We Come From
Hello Nimra,
in this paper you forward the formula in question is not derived from primary principles but, quote "it is also assumed that the sag profile ...can be approximated by the cosine curve". So, as this paper is heavy with modeling, simulating and also testing, I consider it to be a "practical man's approach" to get on with a problem to be solved. If digging deeper remains your intention, you may either contact the entity which produced the paper for further background or make a quantified comparison for the range of parameters you are interested in and then define a deviation.
In applied physics it is an established procedure to use a simplified assumption for a given parameter if this allows to get on with solving the problem and if the error induced is within acceptable limits.
However, there's no doubt in my mind that CEMA would take precedence in any general / practical layout or design issue of a belt conveyor, whereas the theory presented in the paper is more directed towards the more specific issues of slip and spillage.
Concluding, I don't see a confrontation, but rather a coexistence between the two calculation methods.
Regards
R. ■
Admit!
in this paper you forward the formula in question is not derived from primary principles but, quote "it is also assumed that the sag profile ...can be approximated by the cosine curve". So, as this paper is heavy with modeling, simulating and also testing, I consider it to be a "practical man's approach" to get on with a problem to be solved. If digging deeper remains your intention, you may either contact the entity which produced the paper for further background or make a quantified comparison for the range of parameters you are interested in and then define a deviation.
In applied physics it is an established procedure to use a simplified assumption for a given parameter if this allows to get on with solving the problem and if the error induced is within acceptable limits.
However, there's no doubt in my mind that CEMA would take precedence in any general / practical layout or design issue of a belt conveyor, whereas the theory presented in the paper is more directed towards the more specific issues of slip and spillage.
Concluding, I don't see a confrontation, but rather a coexistence between the two calculation methods.
Regards
R.
Dear Roland,
I really appreciate your feedback.
again you are right. what I mentioned is not a confrontation. it is just the difference between two methods (probably between their simplifications & assumptions).
just to let you know, after I posted here, I got curious about the effect of the belt profile on the power required to overcome material trampling effect between rollers. I check CEMA6 again, and on page 122, found what I was looking for:
"The amount and shape of the belt sag is primarily influenced by the material weight, the belt tension and the idler spacing, as in the catenary calculation, but also by the resistance to vertical deflection as the troughed belt supports the load similar to a beam with cross sectional stiffness."
and in the related formula, there is a correction ratio for sag.
now I feel relieved!
Best Regards, ■
Re: Belt Sag And Belt Profile
Hello,
When a flexible chain or cord freely hangs between 2 supporting points (having horizontal distance between them), then profile of the chain for cord is catenary.
The catenary shape mathematical formula etc., is very well known subject since very long time, because it is also concerned with other important application like overhead transmission lines, and so on. Its exact shape formula has mathematical entity ‘Cosh’ (not Cos). One can find information about this curve in mathematical relevant textbooks.
As for the other information, I am repeating here my earlier reply:
Quote:
Forum > Mechanical Feeding And Conveying > Trough Belt Conveying > Conveyor Vertical Curve Construction dated 18th October, 2015
Hello,
In the earlier posting, my focus was on belt conveyor design with respect to concave curve as per prevailing practice. So it did not dwell into intricacies of exact nature of the curve.
The actual shape of belt at concave curvature is catenary. So one can do exercise accordingly if he so decides. For catenary curve the known input to derive catenary specific formula would be 1) Belt tension at curve inlet 2) Curve end inclination at curve inlet and 3) Curve end inclination at its outlet. However, the exercise is likely to be cumbersome.
The reputed belt maker USA literature states that for belt conveyor concave curve; the difference between circular arc curve and actual catenary curve is small. Thus the circular arc is engineering purpose catenary shape / curve.
Also belt conveyors are being constructed by considering circular arc since very long time. This implies that the circular arc must be on safer side (i.e. its curve must be obtuse or less sharp compared to catenary curve.
As for practical convenience; the circular arc can be drawn by usual engineers and draftsmen within 5 / 10 minutes. As against this catenary curve calculations and implementation will demand more time and will also need mathematical knowledge for its calculation. Thus it will be found to be expensive, because every hour spent for such work and time delay cost money to the company.
There is one more troubling point related to contractual matter. The calculation according to circular arc are well understood, recognised and accepted practice among suppliers, buyers and buyers’ consultant. The drawing made using the circular arc curve will get cleared quickly. As against this supplier / designer will have additional burden to convince / teach the other sides about the catenary method he has adopted ! This is likely to be expensive and unpleasant.
Finally choice is with the concerned designer about the nature of curve he intends to consider.
Unquote
It is known that if the curve is comparatively flat, it shape can be considered as a parabola. Also, if the curve is flat and curve length is relatively less, it can be considered as a segment of a circle for practical needs.
Ishwar G. Mulani
Author of Book: ‘Engineering Science And Application Design For Belt Conveyors’. Conveyor design basis ISO (thereby book is helpful to design conveyors as per national standards of most of the countries across world). New print Nov., 2012.
Author of Book: ‘Belt Feeder Design And Hopper Bin Silo’
Advisor / Consultant for Bulk Material Handling System & Issues.
Pune, India. Tel.: 0091 (0)20 25871916
Email: conveyor.ishwar.mulani@gmail.com
Website: www.conveyor.ishwarmulani.com ■

Belt sag and belt profile
Dear all,
I was working on belt profile and noticed that the equation for belt sag is not consistent with the equation for belt profile between idlers.
At first I believed that between idlers belt curve must be relatively small at idlers and relatively large between them (like below image).
That was true till I read a paper on the mechanism of slip and material fall back, where the author assumed that the sag profile of the belt can be approximated by a cosine curve and used below formula to derive equations for maximum belt velocity before slip and lift-off occur:

I checked CEMA standard and found similar formulas for slippage and spillage, which made me think that the cosine profile must be acceptable. The problem with cosine profile is that the magnitude of belts’ curvature is the same on roller and center and it varies along the path (definitely not constant!).
I followed below steps; please tell me which part is wrong!!
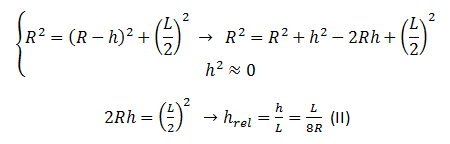
The first formula was the approximate radius for belt in concave curve, which is under tension T, total mass (belt and material) of m:
I thought that belt sag equation must be a variation of belt curve equation, so I assumed a simple curve between two idlers:
Combining equations I and II:

which can be derived from belt sag equations in DIN and CEMA.
The point is, in deriving this equation for sag, belt curvature on rollers must be neglected (this way they will presumably be equal to idlers’ radius!!) and the result is a constant belt radius between rollers; which is in clear contrast with the cosine profile of the belt!
any idea? ■